
近日,我校理论物理中心新物理团队在早期宇宙引力波理论研究方面取得重要进展。由河南师范大学理论物理中心(肖洋、杨金民、张阳)与中国科学院大学亚太理论物理中心(郭怀科、胡家航)合作,在 PRD Letter(物理评论D-快报)发表题为 Growth of the Gravitational Wave Spectrum from Sound Waves in a Universe with a Generic Expansion Rate的研究论文。论文提出并解析得到一个通用增长因子 ,系统刻画早期宇宙中由声波产生的引力波波谱在任意宇宙膨胀背景下如何随时间累积增长,为未来空间引力波探测的理论预言提供了统一而简洁的工具。
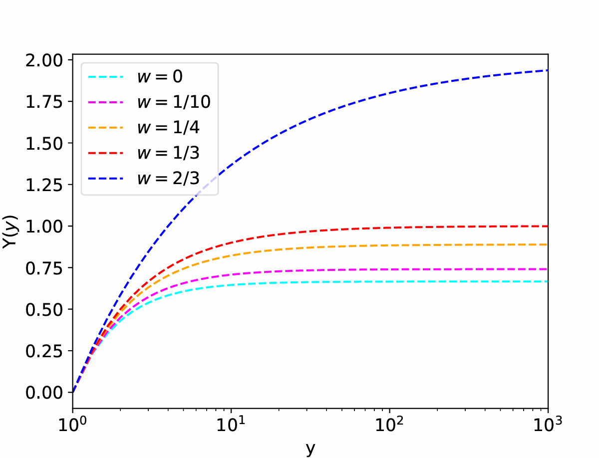
在一阶宇宙相变中,真空“泡泡”的膨胀与碰撞会驱动等离子体形成有组织的声波,进而持续扰动时空并产生随机引力波背景;其是否可被 LISA、Taiji、TianQin 等空间探测器捕捉,关键取决于引力波在相变期间如何增长以及之后如何被宇宙膨胀稀释。现有研究多假设相变发生在辐射主导阶段,但真实宇宙可能经历物质主导、动能主导(kination)等非常规膨胀史,从而改变声波可持续作用的时长与信号累积。针对上述难点,本论文在“声壳模型”的理论框架下,提出了适用于各类单一能量成分主导宇宙的解析解:若主导能量密度随宇宙尺度因子满足幂律衰减关系,则引力波波谱的增长可由统一的增长因子模型进行描述。该模型在辐射主导或物质主导的极限条件下可精确简化为现有公式,并首次统一刻画了动能主导等情形下的增长规律(呈现对数型特征),从而显著扩展了以往局限于辐射主导时期的理论计算体系。
研究进一步表明,该增长因子的推导仅依赖于“源项在有限时间内近似保持平稳”这一物理条件,因此不仅适用于相变声波,也可作为其他“长时程缓慢演化源”的通用描述工具。该结果可直接融入当前广泛使用的引力波波谱预测与数据分析流程中,有助于降低由宇宙学背景假设引入的系统误差,提升未来观测数据的物理解释能力。
论文DOI:https://journals.aps.org/prd/abstract/10.1103/xyvn-hsqz
(物理学院 张阳)
