近日,我校物理学院量子信息与量子模拟团队在量子多参数估计领域取得重要进展,相关研究成果以“Efficiently evaluating Holevo, RLD and SLD Cramér-Rao bounds for multiparameter quantum estimation with Gaussian states”为题,发表在国际知名学术期刊 Communications Physics。该期刊是Nature旗下的综合类物理学开放获取期刊,也是中科院一区Top期刊。论文第一作者为我校物理学院师资博士后常守康,意大利米兰大学Marco G. Genoni副教授与帕尔玛大学Francesco Albarelli研究员为合作者。
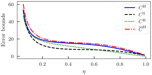
在量子多参数估计中,不同参数对应的最优测量之间存在不兼容性,这使得传统的量子 Cramér-Rao 界缺乏严格性,且往往难以饱和。理论上,该界源于利用对称对数导数对经典 Cramér-Rao 界进行量子化,故又称作对称对数导数 Cramér-Rao 界。此外,经典Cramér-Rao 界的量子化路径并不唯一,人们还利用右对称对数导数提出了右对称对数导数 Cramér-Rao 界,但在多参数估计中,这一界限依然不够严格。为了解决这一问题,研究者提出一种更严格的精度极限——Holevo Cramér-Rao 界。通常情况下,该界限可以通过集体测量实现饱和。尽管 Holevo Cramér-Rao 界对多参数估计至关重要,但由于其计算涉及复杂的可观测量优化问题,应用受到了严重阻碍。对于有限维量子系统,虽然已有基于半正定规划理论的通用求解方法,但对于无限维的高斯量子系统,现有成果多仅限于纯高斯态的平移估计。面对一般高斯量子态(特别是混态),求解依然十分困难。对此,本文利用半正定规划理论,提出一种能够计算一般高斯量子态 Holevo Cramér-Rao 界的方法。并基于此方法,重点探讨高斯混态下相位与损耗系数的联合估计问题(如图1所示),以及平移参数与压缩参数的联合估计(如图2所示)问题。

图1 几种误差界随损耗系数的变化,其中蓝线、黑线、绿线和红线分别对应于Holevo Cramér-Rao界、对称对数导数的Cramér-Rao界、右对称对数导数的Cramér-Rao界和误差上界。

图2 几种误差界随压缩参数的变化,其中实线、点划线和虚线分别对应于Holevo Cramér-Rao界、对称对数导数的Cramér-Rao界和右对称对数导数的Cramér-Rao界。
论文链接:https://doi.org/10.1038/s42005-026-02550-6
作者简介:常守康,男,师资博士后。主要从事量子精密测量、量子参数估计及量子测温领域的理论研究。近年来,在 Communications Physics、Physical Review Research、Physical Review A、Optics Express 等国际主流期刊以第一作者或通讯作者身份发表 SCI 论文 8 篇。2023 年 10 月至 2024 年 10 月,受国家留学基金委(CSC)资助赴意大利米兰大学进行博士联合培养,合作导师为 Marco G. Genoni 副教授和Francesco Albarelli研究员。
(物理学院 张阳)
