Direct Full-Length RNA Sequencing Reveals an Important Role of Epigenetics During Sexual Reversal in Chinese Soft-Shelled Turtle
直接全长RNA测序揭示表观遗传学在中华鳖性反转中的重要作用

背景介绍
中华鳖的性别决定机制是基因型性别决定(GSD),而不是温度依赖性性别决定(TSD),并遵循ZZ\/ZW染色体系统,其中雌性有一对不同的ZW微性染色体,雄性有两条相似的ZZ染色体。
雌激素和雄激素之间的平衡决定了脊椎动物性腺发育的方向,外源激素可在中华鳖性别分化期间诱导性逆转。中华鳖的性逆转对水产养殖业具有重要意义,因为性成熟的假雌性可以与遗传雄性杂交以获得所有雄性后代。然而,中华鳖性反转的生物学基础仍然很少被探索。
RNA甲基化修饰是表观遗传学的一个重要分支。m6A 和m5C 是真核生物中两种常见的RNA转录后修饰。m6A可以调节卵母细胞到胚胎的转化,并将体细胞重新编程为诱导多能干细胞,m5C甲基转移酶与包括癌症在内的各种人类疾病密切相关,m5C修饰被认为在细胞内和核质转运中发挥作用。
基于Nanopore测序技术进行RNA 测序,全面分析了选择性剪接事件和不同的RNA甲基化修饰,包括m6A和m5C,揭示了表观遗传学在中国鳖性腺发育中的作用。
材料方法

讨论
不同样本的RNA直接测序数据统计

正向映射读取和反向映射读取占全部清除读取的99.19%,PM的N50和平均长度接近M,而远离F。相反,PF的N50和平均长度接近F,但远离M。TPM方框图显示各组所有转录本的中值log2(TPM)值不同,M和PM值低于F和PF。
总结:测序数据具有较高的可信度,M组和PM组在读取长度和转录本的总体表达水平上与F组和PF组不同
3.2中华鳖性别的结构分析

5种新的转录类型(O、J、X、I和U),包含16077个转录本。

poly(A)尾是已知的mRNA稳定性和细胞内转运的调节器。由于poly(A)尾的长度会影响翻译效率,因此对其长度的分析可以揭示mRNA和蛋白质翻译的动态过程,在四个性别群体之间,但在每个群体内poly(A)长度保持一致。

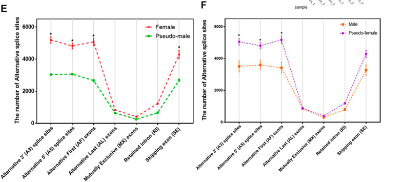
统计了每个样本中的选择性剪接类型,如选择性3′剪接位点(A3)、选择性5′剪接位点(A5)和选择性第一外显子(AF)有显著差异,和转录本数量。在从F到PM的性反转过程中,选择性剪接位点的数量明显减少。在从M到PF的性反转过程中,这些位置的选择性剪接位点数量显著增加。
性别类型间差异基因表达分析

在M和F或M和PF之间发现了大约15000个差异表达基因,而在女性个体和男性表型个体之间发现了12000个差异表达基因。同一性别(M和PM;F和PF)之间差异表达的基因数量很少。第一组(即F、M、PF)由与从雄性到伪雌性的性别逆转过程相关的差异表达基因组成,第二组(即F、M、PM)由与F到PM转换相关的差异表达基因组成。
GO KEGG分析

GO富集分析表明,第一组大部分上调基因参与了与内质体膜、细胞钙离子稳态和自噬体相关的过程,KEGG富集分析表明,癌症中的microRNA、内质网中的蛋白质加工和甲型流感等多种信号通路与M个体向PF个体的转变有关。对下调的差异基因中第二类的GO富集分析表明,在性反转过程中,与运动纤毛、轴丝和微管运动相关的过程显著减少。下调的差异基因主要集中在嘌呤代谢信号通路中。GO和KEGG富集分析结果表明,第一类差异基因主要富集于囊泡介导的转运、运动纤毛和多种信号通路,如hippo信号通路和甘油磷脂代谢。
中华鳖性别类型的甲基化分析

显示了m6A修饰的转录物的分布和总体表达水平,Poly(A)尾长度与m6A修饰的转录本之间的相关性分析表明,雌性表型样本(F和PF)与雄性表型样本(M和PM)之间存在显著差异,选择四个不同的五碱基序列,每个序列都是已知的m6A甲基化位点,并比较了这些序列中含有m6A甲基化的百分比,不用性别组之间没有显著性差异,甲基化修饰位点的总数,包括m5C和m6A,发现由外源激素(E2和MT)诱导的个体具有较少的甲基化修饰位点,在从雄性到伪雌性的性反转过程中,M5C甲基化修饰位点的位置已从CDS区变为3′UTR区。然而,在雌性到伪雄性过渡期,许多甲基化修饰位点(m5C)的位置已从3′UTR区变为CDS区。m6A修饰位点的位置也发生了变化,与女性表型个体相比,男性表型个体在CDS区域有更多的修饰位点,在3′UTR区域有更少的修饰位点。
跨性别类型的m6A修饰分析

进行了两组差异表达分析:第一组F与PM和第二组PF与M。在第一组分析中,鉴定了1038个上调和1743个下调的m6A修饰基因,而在第二组分析中,鉴定了1279个上调和880个下调的m6A修饰基因。第一组基因的GO富集分析显示,纤毛运动、鞭毛轴丝 和线粒体外膜,表明这些过程在从F到PM的转变中起重要作用。KEGG富集分析确定了几个重要通路,如吞噬体、甲型流感和内质网中的蛋白质加工。对PF和M集合中差异表达基因的GO和KEGG分析显示纤毛运动、鞭毛轴丝 以及许多相同的KEGG途径,如吞噬体、甲型流感和内质网中的蛋白质加工。
染色体甲基化位点的修饰

m5C甲基化位点第二碱基的位置在雄性表型和雌性表型之间发生了变化,而m6A序列特征没有改变。两种性逆转途径中鉴定的差异m5C和m6A修饰基因的位置。这些基因主要位于七条染色体上(NW_005871042.1、NW_005870997.1、NW_005859001.1、NW_005855937.1、NW_005855804.1、NW_005854023.1和NW_005853326.1)表明这些染色体上甲基化可能在两个方向上与性别分化密切相关。
3.8 染色体上的所有差异表达甲基化基因qRT-PCR

qRT-PCR结果显示,在从M到PF的过渡中,Odf2、Pacs2、Ak1和Ube2o的mRNA水平显著降低,而在从F到PM的过渡中,Odf2、Pacs2、Ak1的mRNA水平升高,Ube2o的mRNA化水平降低。这些基因的RNA甲基化变化在性逆转过程中起着重要作用。
讨论
雌性中华鳖比雄性中华鳖有更多的剪接事件,并且它们主要集中在选择性3′剪接位点(A3)、选择性5′剪接位点(A5)和选择性第一外显子(AF)。在雌性表型个体中,剪接事件的数量显著增加,因此雌性途径的相关蛋白质和生物过程更加复杂。在性逆转的过程中,我们发现几个甲基化修饰位点的位置发生了变化。在从M个体向PF个体过渡的过程中,3′UTR上的甲基化修饰位点(m5C和m6A)显著增加。相比之下,与PM个体相比,F个体在3′UTR上的甲基化位点显著减少。同一基因在不同性别类型中可能有不同的表达模式,尽管其基因型保持不变。RNA甲基化(m5C和m6A)和选择性剪接事件等表观遗传调控在中华鳖性反转过程中发挥着关键和不可替代的作用。