近日,我院杨宗献、路战胜团队和加州大学-Irvine武汝前教授合作在凝聚态物理领域Top期刊Applied Physics Letters发表了题为《Research on the mechanism of interactions between Li/Na/K atoms and electrode materials》的研究论文,第一作者为博士生庞玉东。
随着对高容量电池材料的需求不断增长,探索锂/钠/钾原子与电极材料之间的相互作用机制备受关注。我们的近期研究基于能带模型中能够容纳一个电荷的最低空轨道的中心(ɛɑ)所处的能级位置作为描述符(图1),旨在高效识别高性能电极材料,特别是来自二维过渡金属硫族化合物和C、N化合物(MXene)的材料。

图1. 基底材料获得电子的理论状态密度 (DOS) 模型
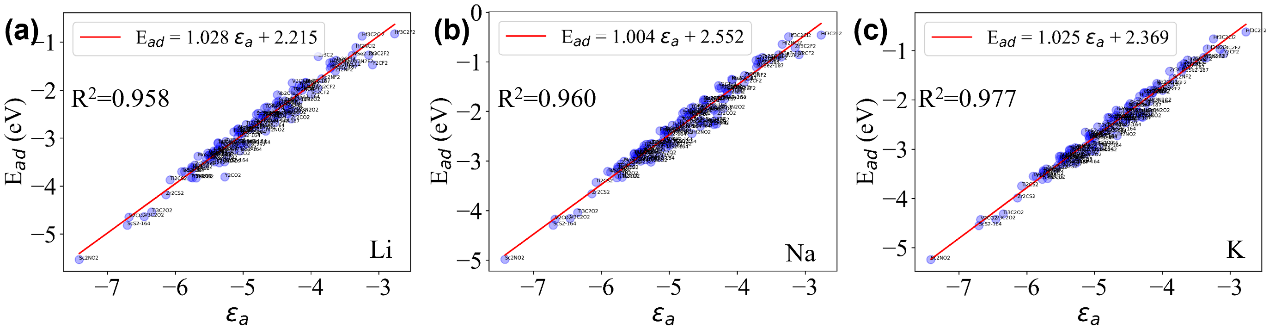
我们基于高通量的密度泛函理论计算了Li/Na/K原子在122个TMDC和MXene材料表面的吸附,揭示了这个描述符与吸附能(Ead)之间的强线性关系(图2),表示为 Ead = ɛɑ + b。而拟合参数ɛɑ和b分别与基底和吸附物的固有性质相关。具体来说,描述符ɛɑ代表了电极材料容纳额外电子的能力,而截距b则由碱金属原子的电离能(EIP)和阳离子与带负电底物之间的耦合能(Ecp)决定。

图 2. Li(a)、Na(b)和 K(c)原子在基底(包括总共 122 个 TMDC 和 MXenes)上的吸附能与描述符 ea 之间的线性拟合
这一发现为设计高容量电池材料提供了实用指南,并为未来在该领域的进一步发展提供了可能的指导。
原文链接:
https://doi.org/10.1063/5.0170674
(物理学院 路战胜)
